This section was written to provide a simpler step-by-step method for spotting incorrect statements made in papers published in the Journal of Engineering Mechanics by Zdenek Bazant and coauthors. Due to their technical nature the papers will be too difficult to read for many people who are interested in the written record of the WTC collapses. Therefore I provide direct quotes from the papers followed by simple questions which can be answered by most anyone just by looking at the quotes and spotting the answer.

It is my hope that this approach can allow anyone who wishes to see just how absurd some of the things Bazant wrote and the Journal of Engineering Mechanics uncritically published about the World Trade Center collapses without the veneer of scientific sounding jargon.


For the reader's reference the Bazant papers on the WTC towers written from 2007 to the present are listed and linked:



Part 1: Mechanics of Progressive Collapse: Learning from World Trade Center and Building Demolitions

Zdenek P. Bazant and Mathieu Verdure (BV), published in 2007, the paper linked here


Part 2: Closure to 'Mechanics of Progressive Collapse: Learning from World Trade
Center and Building Demolitions' by Zdenek P. Bazant and Mathieu Verdure


Zdenek P. Bazant and Jia-Liang Le (BL), published in 2007,

March 2007, Vol. 133, No. 3, pp. 308-319.
DOI: 10.1061/(ASCE)0733-9399(2007)133:3(308)
The paper is linked here





The third paper: What Did and Did not Cause Collapse of WTC Twin Towers in New York

Zdenek P. Bazant, Jia-Liang Le, Frank R. Greening and David B. Benson
(BGLB) is linked here


The most recent Bazant paper on the WTC collapses is called: Why the Observed Motion History of World Trade Center Towers Is Smooth (2011), linked here.












I will first focus on the paper 'Closure to 'Mechanics of Progressive Collapse' by Bazant and Le. Jia-Liang Le was a graduate student at Northwestern University when this paper was written, so the comments within this paper are basically those of Bazant, a professor at Northwestern University at that time.


I will formulate 44 separate and highly specific questions on this paper. The specific questions are carefully formulated to help any impartial and honest reader to see mistakes made within the paper.








I'll begin by reviewing the outline of this paper. The paper is written as an answer to 2 critical responses to the collapse mechanics as written in the original paper by Bazant and Verdure. The critical inquiries to which Bazant and graduate student Le are responding were presented by people commonly known as 'truthers'. The inquiries are presented by James Gourley and Gregory Szuladzinski. All quotes are directly from the paper.




Gregory Szuladzinski begins:

The paper presents a very interesting concept of an accidental demolition, whereby heavy damage sustained by an intermediate
story of a building leads to the upper part of the structure crushing the lower one in a sequence of story collapse steps. The focus of
the paper is on the treatment of equations of motion and very few numbers are quoted; that is, numbers that relate to the physical properties
of the structure discussed, namely the World Trade Center (WTC) towers. The following comments are intended
to fill that gap as well as to ascertain the likelihood of the applicability of this concept.





Gregory is clearly referring to application of BV equations 12 and 17 to the specific case of the WTC towers. There can be no mistake that he is discussing the specific cases of WTC1 and 2 throughout the discussion.



Question 1: Do you agree or disagree that Greg Szuladzinski is referring specifically to the WTC towers within this quote?











James R. Gourley's opening words are similar:

This discussion describes flaws in the modeling and analysis of the World Trade Center collapses by Bazant and Verdure in their paper entitled "Mechanics of Progressive Collapse: Learning
from World Trade Center and Building Demolitions". First, the paper's two-phased approach to the collapse analysis will be considered. The writers will demonstrate that a two-phase collapse analysis is not representative of reality, because it disregards well-accepted laws of physics and therefore is not instructive. Second, the original paper's summary of the findings of the NIST report will be analyzed.




James is also clearly addressing the application of equations 12 and 17 in BV to the specific cases of WTC1 and 2. He explicitly identifies BV as a modeling and analyzing of the World Trade Center collapses when he states:

This discussion describes flaws in the modeling and analysis of the World Trade Center collapses by Bazant and Verdure in their paper entitled "Mechanics of Progressive Collapse: Learning from World Trade Center and Building Demolitions".




Question 2: Do you agree or disagree that James Gourley is referring specifically to the case of the WTC towers in this quote?











Zdenek P. Bazant opens to Gourley:



Discussion by James R. Gourley

The interdisciplinary interests of Gourley, a chemical engineer with a doctorate in jurisprudence, are appreciated. Although none
of the discusser's criticisms is scientifically correct, his discussion provides a welcome opportunity to dispel doubts recently voiced
by some in the community outside structural mechanics and engineering. It also provides an opportunity to rebut a previous similar
discussion widely circulated on the Internet, co-authored by S. E. Jones, Associate Professor of Physics at Brigham Young University
and a cold fusion specialist. For the sake of clarity, this closure is organized into the points listed subsequently and rebutted one by one.


He then argues the 8 points in order, each point being clearly labelled:

1. Newton's Third Law

2. Are the Internal Forces in Upper and Lower Parts of
Tower Equal?

3. Localization of Energy Dissipation into Crushing Front

4. Can Crush-Up Proceed Simultaneously with Crush Down?

5. Why Can Crush-Up Not Begin Later?

6. Variation or Mass and Column Size along Tower Height

7. Were the Columns in the Stories above Aircraft Impact
Hot Enough to Fail?

8. Steel Temperature and NIST Report




Question 3: Do you agree or disagree that Bazant, when answering James Gourley on each of these 8 points clearly labeled in the paper, is referring specifically to the case of the WTC towers?







Likewise he opens his replies to the G. Szuladzinski discussion:


Discussion by G. Szuladzinski

The interest of Szuladzinski, a specialist in homeland security, is appreciated. After close scrutiny, however, his calculations are found to be incorrect, for reasons explained in the following.



and clearly lists each reply in order:


1. Load-Displacement Curve of Columns and Energy Absorption Capacity

2. Does Excess of over Gravity Load Imply Arrest of Collapse?

3. Is the Equation of Motion for Calculating the Duration of Fall Correct?

4. Could Stress Waves Ahead of Crushing Front Destroy the Tower?





Each discussion by Gourley and Szuladzinski, and each rebuttal by Bazant, can be easily reviewed simply by going to the clearly marked section. Each of the 12 clearly marked objections and rebuttals make specific reference to the case of the WTC towers.



Question 4: Do you agree that Bazant, when answering G. Szuladzinski on each of these 4 points clearly labeled in the paper, is referring specifically to the case of the WTC towers?





This is the Bazant reply to J. Gourley's third point:

"Discussion by James R. Gourley
3. Localization of Energy Dissipation into Crushing Front:
In the discusser's opinion: the hypothesis that "the energy is dissipated at the crushing front implies that the blocks in Fig. 2 may be treated as rigid,
i.e., the deformations of the blocks away from the crushing front may be neglected."
This is a fundamental misunderstanding. Of course, blocks C and A are not rigid and elastic waves do propagate into them."



But the wave velocity, given by v = ?Et / ? where Et = tangential e modulus of steel in the loaded columns and ? = mass density, tends to zero as soon as the plastic or racturing response is triggered, because in that case, Et ? 0.
Therefore, as explained in courses on stress waves, no wave attaining the material strength can penetrate beyond the crushing (or plastic) front.
Only harmless elastic waves can. Propagation of the crushing front is not a wave-propagation phenomenon.
Destruction of many stories at the rate corresponding to the elastic wave speed, which would appear as simultaneous, is impossible.
This is why the collapse is called progressive. Blocks C and A can, of course, deform.
Yet, contrary to the discusser's claim, they may be treated in calculations as rigid because their elastic deformations are about 1,000 times smaller than the deformations at the crushing front."



This is the argument Bazant uses to explain to James Gourley that both blocks A (the 'lower block') and block C (the 'upper block') can be treated as 'rigid'.


Question 5: Is Bazant referring to the WTC towers specifically when making this argument about treating 'block A' and 'block C' as rigid?

Question 6: Is he claiming that 'block A' and 'block C' can be treated as rigid because only 'harmless elastic waves' can penetrate them, and that 'no wave attaining the material strength (of the 'blocks') can penetrate beyond the WTC crush fronts'?





Bazant continues to answer the points made by James Gourley...

"4. Can Crush-Up Proceed Simultaneously with Crush Down? It can, but only briefly at the beginning of collapse, as mentioned in the paper."



Question 7: Is Bazant claiming that in the case of the WTC collapses, 'crush up' cannot proceed 'crush down' except only briefly at the beginning of the collapse?




Bazant continues to explain point 4:

"Statements such as "the columns supporting the lower floors . . . were thicker, sturdier, and more massive,"
although true, do not support the conclusion that "the upper floors (i.e., the floors comprising Part C) would be more likely than the lower floors to deform and yield during collapse" (deform they could, of course, but only a little, i.e., elastically)."



Question 8: Is Bazant claiming that the 'upper floors (i.e., the floors comprising Part C)' would not be more likely than the 'lower floors' to 'deform and yield' during the collapse of the WTC towers?




Question 9: Is Bazant, when addressing J. Gourley, a known 'truther', about Gourley's specific reference to the WTC towers, talking about the 'lower' and 'upper' floors of the WTC towers, or is he talking about some other building?

Question 10: Why is Bazant writing about the thicker, more massive columns supporting the lower floors of the WTC towers if he was aware of the ROOSD propagation mechanism?

Question 11: Why is Bazant talking about the 'upper floors' of the WTC towers only deforming 'a little, i.e., elastically' if he was aware of the ROOSD propagation mechanism?




Bazant continues on the same point:

"More-detailed calculations than those included in their paper were made by Bažant and Verdure to address this question. On the basis of a simple estimate of energy corresponding to the area between the load-deflection curve of columns and the gravity force for crush down or crush up, it was concluded at the onset that the latter area is much larger, making crush-up impossible."



Question 12: Is Bazant referring specifically to the WTC towers when making this statement?

Question 13: Is Bazant claiming that 'crush up' is impossible in the case of the WTC towers?

Question 14: Does Bazant seem aware of the ROOSD propagation mechanism when making claims such as 'crush-up is impossible' when referring to the WTC towers?







Bazant continues to explain:

We have now carried out accurate calculations, which rigorously justify this conclusion and may be summarized as follows.

Consider that there are two crushing fronts, one propagating upward into the falling block, and the other down-ward.
Denote v1 , v2 = current velocities of the downward and upward crushing fronts (positive if downward); x(t) , z(t)= coordinates of the
mass points at these fronts before the collapse began (Lagrangian oordinates); and q(t) = current coordinate of the tower top.
All the coordinates are measured from the initial tower top downward.
After the collapse of the first critical story, the falling upper Part C with the compacted Part B impacts the stationary lower Part A.
During that impact, the total momentum and the total energy must both be conserved. These conditions yield two algebraic equations




Question 15: When Bazant refers to the 'two crushing fronts' and the 'tower top', is he referring to the specific cases of the WTC towers?






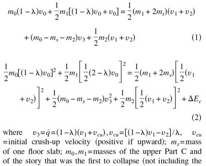
During impact, ? = 0.2 for the North Tower and 0.205 for the South Tower.
For the North or South Tower: m0 = 54.18· 106 or 112.80· 106 kg, m1 = 2.60· 106 or 2.68· 106 kg, m2 = 3.87· 106 or 3.98· 106 kg, and ms = .627· 106 kg for both.
For a fall through the height of the critical story, by solving Eq. (2) of Bazant et al. 2007, one obtains the crush-front velocity v0 = 8.5 m / s for the North Tower and 8.97 m / s for the South Tower.
The solution of Eqs. (1) and (2) yields the following velocities after impact: v1 = 6.43 or 6.80 m / s, v2 = 4.70 or 4.94 m / s, and vcu = 2.23 or 2.25 m / s for the North or South Tower.
These data represent the initial values for the differential equations of motion of the upper Part C and of the compacted layer B.
If Lagrangian coordinates x(t) and z(t) of the crush-down and crush-up fronts are used, these equations can easily be shown to have the following forms:





Question 16: When Bazant refers to the 'crush down' and 'crush up' fronts in this quote, is he referring to the specific cases of the WTC towers?





"These two simultaneous differential equations have been converted to four first-order differential equations and solved
numerically by the Runge-Kutta method. The solution has been found to be almost identical to the solution presented in the paper,
which was obtained under the simplifying assumption that the crush-up does not start until after the crush down is finished."




Question 17: Is Bazant writing about the specific cases of the WTC towers when making these claims?

Question 18: Is Bazant claiming that these calculations show that the 'crush up' phase of the WTC collapses does not start until the 'crush down' phase is finished?

Question 19: When Bazant refers to the 'solution presented in the paper', does he mean the 2007 paper by Bazant and Verdure?

Question 20: Is Bazant claiming that these more detailed equations show that the original equations in BV were valid when applied to the WTC collapses?





Bazant continues to explain:

"The reason for the difference being negligible is that the condition of simultaneous crush-up, x ? 0, is violated
very early, at a moment at which the height of the first overlying story is reduced by about 1%."


Question 21: When making this specific statement is he referring to the WTC towers?




"This finding further means that the replacement of the load-deflection curve in Fig. 3 of the paper
by the energetically equivalent Maxwell line that corresponds to a uniform resisting force F? cannot be sufficiently accurate to study the beginning of two-way crush.)"



Therefore, a solution more accurate than that in the paper has been obtained on the basis of Eqs. (3) and (4).
In that solution, the variation of the crushing force F? within the story was taken into account, as shown by the actual calculated resistance
force labeled F(u) in Fig. 3 of the paper, by the force labeled F(z) on top of Fig. 4 of the paper, and by the resistance curves for the crushing of subsequent stories shown in Fig. 5 of the paper.
The precise curve F(u) was calculated from Eq. 8 of Bazant and Zhou (2002).
Very small time steps, necessary to resolve the changes of velocity and acceleration during the collapse of one story, have been used in this calculation.
Fig. 1 shows the calculated evolution of displacement and velocity during the collapse of the first overlying story in two-way crush.
The result is that the crush-up stops (i.e., (x) )_ drops to zero? when the first overlying story is squashed by the distance of only about 1.0% of its original height
for the North Tower, and only by about 0.7% for the South Tower (these values are about 11 or 8 times greater than the elastic limit of column deformation)."


Question 22: Is Bazant claiming that the crush up process of WTC1 stops when the first overlying story is 'squashed' by a distance of only about 1.0% of its original height?



"Why is the distance smaller for the South Tower even though the falling upper part is much more massive?
That is because the initial crush-up velocity is similar for both towers, whereas the columns are much stronger (in proportion to the weight carried)."


Question 23: Is Bazant referring to the specific cases of the WTC towers when making this statement?

Question 24: Why is Bazant referring to the strength of columns if the ROOSD propagation mechanism is independent of column strength?






"The load-displacement diagram of the overlying story is qualitatively similar to the curve,
with unloading rebound sketched in Fig. (4c) of the paper and accurately plotted without rebound in Fig. 3 of the paper.
The results of accurate computations are shown by the displacement and velocity evolutions in Fig. 1."




This is figure 1 from the Bazant and Le paper reproduced. The figure shows Dr Bazant's conception of how the "crush up" process compares to the "crush down" process for both WTC1 (north tower) and WTC2 (south tower). According to Bazant, the process of "crush up" in WTC1 will be arrested after it proceeds a mere 1 inch upward. At this point, the "upper block" will be "cushioned" by a region of accumulated rubble which he calls "zone B". The "upper block" of WTC1 and 2 then "survives" until its lower edge makes firm contact with the earth through the completely compacted lower portion of the building. Lastly, the "upper block" is crushed upward and is destroyed.




"So it must be concluded that the simplifying hypothesis of one-way crushing (i.e., of absence of simultaneous crush-up),
made in the original paper, was perfectly justified and caused only an imperceptible difference in the results."



Question 25: Is Bazant referring to the WTC towers when making this statement?

Question 26: When Bazant refers to the 'original paper', is he referring to the paper by Bazant and Verdure (2007)?




"The crush-up simultaneous with the crush down is found to have advanced into the overlying story by only 37 mm for the North Tower
and 26 mm for the South Tower."


Question 27: Is Bazant referring to the WTC towers when making this statement?

Question 28: Is Bazant claiming that the crush up process for WTC1 advanced only 37 mm upward before coming to a stop, at which time only crush-down occurred until the collapse front made contact with the earth?

Question 29: Is Bazant claiming that the crush up process for WTC2 advanced only 26mm upward before coming to a stop, at which time only crush-down occurred until the collapse front made contact with the earth?





"This means that the initial crush-up phase terminates when the axial displacement of columns is only about 10 times larger than their maximum elastic deformation.
Hence, simplifying the analysis by neglecting the initial two-way crushing phase was correct and accurate."


Question 30: Is Bazant referring to the WTC towers when making this statement?

Question 31: Is Bazant claiming that the 'crush up' phase of the WTC towers terminates 'when the axial displacement of columns is only about 10 times larger than their maximum elastic deformation'?

Question 32: Is Bazant claiming that it is 'correct and accurate' to ignore the phenomenon of 'crush up' and consider the WTC towers as being only 'crushed down' until the collapse front makes contact wth the earth?






"5. Why Can Crush-Up Not Begin Later? The discusser further states that "it is difficult to imagine, again from a basic physical standpoint, how the possibility of the occurrence of crush-up would diminish as the collapse progressed."


This is one of the only intelligent comments made by either 'truther' representative throughout the whole paper. Any logical human being should question why the 'possibility of the ocurance of crush up would diminish as the WTC collapses progressed' But Bazant then proceeds once again to explain why 'crush up' is physically impossible...



"Yet the discusser could have imagined it easily, even without calculations, if he considered the free-body equilibrium diagram
of compacted layer B, as in Fig. 2(f) of the paper."






This is figure 2 from the Bazant and Le paper reproduced. This is how Bazant defines variables for the equations he uses.


Question 33: Is Bazant referring to the specific cases of the WTC towers when making this argument on how 'crush up' cannot occur?








"After including the inertia force, it immediately follows from this diagram that the normal force in the supposed crush up front acting upward onto Part C is




"The discussers' statement that "the yield and deformation strength of . . . Part C would be very similar to the yield and
deformation strength of . . . the lower structure" shows a misunderstanding of the mechanics of failure. Aside from the fact that "deformation strength"
is a meaningless term (deformation depends on the load but has nothing to do with strength), this statement is irrelevant to what the discussers try to assert.
It is the normal force in the upper Part C that is much smaller, not necessarily the strength (or load capacity) of Part C per se."




"Force F? acting on Part C upward can easily be calculated from the dynamic equilibrium of Part C (see Fig. 2g),
and it is found that F? never exceeds the column crushing force of the overlying story.
This confirms again that the crush-up cannot restart until the compacted layer hits the ground."


Question 34: Is Bazant referring to the WTC towers when making this statement?

Question 35: Is Bazant claiming that his work has confirmed that the 'crush-up cannot restart until the compacted layer hits the ground'?

Question 36: Is Bazant writing about the "crush up' of the collase front of the WTC towers, and how it cannot happen until the collapse front hits the earth?








"6. Variation or Mass and Column Size along Tower Height:

This variation was accurately taken into account by Bazant et al. (2007).
Those who do not attempt to calculate might be surprised that the effects of this variation on the history of motion and on the collapse duration are rather small.
Intuitively, the main reason is that, as good design requires, the cross-section areas of columns increase (in multistory steps, of course) roughly in proportion to the mass of the overlying
structure. For this reason, the effect of column size approximately compensates for the effect of the columns mass."


Question 37: Why does Bazant consider variation of mass and column size when referring to the collapse propagation of the WTC towers if ROOSD propagation is independent of column strength?

Question 38: Does Bazant seem aware of the concept of a ROOSD propagation mechanism when making this statement?





Closing Comments Although everyone is certainly entitled to express his or her opinion on any issue of concern, interested critics should realize that,
to help discern the truth about an engineering problem such as the WTC collapse, it is necessary to become acquainted with the relevant material from an appropriate textbook on structural mechanics.
Otherwise critics run the risk of misleading and wrongly influencing the public with incorrect information."




Question 39: Is Bazant referring to the WTC collapses specifically within this closing comment?

Question 40: Within every comment quoted above, when addressing two known 'truthers', was Bazant referring specifically to the WTC collapses?

Question 41: At any time within the quotes given, did Bazant seem aware of the ROOSD mechanism of propagation?

Question 42: Within the multiple references to the 'lower block', the 'upper block', a 'crush down phase', and a 'crush up phase', is Bazant referring specifically to the WTC towers?



Gourley, in his opening statement makes the following claim:

...a two-phase collapse analysis is not representative of reality, because it disregards well-accepted laws of physics and therefore is not instructive.


Question 43: Does Bazant, at any time within the paper, give any indication that he does not consider his own 'two-phase collapse analysis' to not be represenative of 'reality' as applied to the WTC towers?

Question 44: At any time throughout the paper does Bazant deny that BV equations 12 (the 'crush down' equation) and 17 (the 'crush up' equation) can be applied to the specific cases of the WTC towers?









These 44 highly specific questions are formulated in such a way that they can be answered by anyone interested in this subject. They are offered so that any interested person does not need to feel that asking and answering these questions is a task outside of their level of education or ability. I strongly encourage any interested reader to not blindly rely on any arguments made by those in positions of technical authority. Papers like the one being currently examined demonstrate that these authors could not possibly have known the actual collapse progression modes of WTC1 or 2 at the time they made these statements. Likewise, the publishers of these papers, the Journal of Engineering Mechanics, clearly were not able to notice that the papers represented the collapse progression modes of WTC1 and WTC2 incorrectly.









I have one more set of questions, this time concerning comments made to me personally by David Benson, coauthor of a 2008 paper with Bazant published in the Journal of Engineering Mechanics. The questions are once again carefully chosen to allow anyone with a sincere interest in the subject of the Bazant papers on the WTC collapses published from 2007 to the present to see these papers for what they really are.

Within the internet environment there have been so many untrue statements endlessly repeated about these papers. These untrue statements have been and will be repeated with a hypnotic regularity.


I hope these simple quotes and questions can help the more sincere observers among the readers, truther, debunker, or more non-attached honest observers curious about the written history of the WTC collapses to disabuse yourselves of the crap to which you have been subject for years. Peace.





David Benson, co-author of What Did and Did not Cause Collapse of WTC Twin Towers in New York

Zdenek P. Bazant, Jia-Liang Le, Frank R. Greening and David B. Benson
(BGLB), in a recorded dialog with the author. All quotes are from David Benson:




David Benson on WTC1:

"On another matter, we ordinarily start with the simplest hypothesis and stik with it until some evidence shows the hypothesis must be modified. In the case of the top portion, the simplest is that it stayed on top most of the way down; say with the roof at around floor 25. Until someone develops some actual evidence to the contrary, I'll stick with that rather than unending speculation and new simulations of the resulting hypothesis."

from this post


Question 1: When making this statement, does David Benson seem aware that the WTC1 upper portion basically dis-integrated very early during the collapse process?

Question 2: When making this statement, does David Benson state that he actually believed the WTC1 'upper block' remained intact and on top of the lower portion of the building until reaching the 25th floor?






David Benson on WTC1:

"Assuming homogeneity, Bazaant & Le show thaqt zone C is almost industrucible. That's mechincs for you. The sturcture obviiously was not homogeneous and you have, in other threads, shown some distruction along the west and north walls. In of itself that mass loss is not important, but it does mean the floor trusses in those areas have been weakened. So an average of about 4--6 stories above floor 98 do not come close to satisfying the homogeneity condition. Fine. consider then that zone C is from floor, say, 102 up. To keep the equation simple, assume crush-down begins from there. As I mentiioned in this thread yesterday, this works well enough to match the additional observations by OneWhiteEye.
"

from this post

Question 3: At the time of this statement did David Benson understand that zone c (the upper block) of WTC1 dis-integrated shortly after collapse initiation?

Question 4: How does David Benson suggest the WTC1 upper portion behaved based on his understanding of the visual record?

Question 5: Within this statement does David Benson consider the upper portion of WTC1 from the 102nd floor upwards to be virtually indestructible based on the arguments given in the paper by Bazant and Le?






David Benson on WTC1:

"Zone C simply disappears into the obscuring dusts. Not sufficient reason to assume it is being crushed first. If sufficiently close to homogeneous, then from Bazant & Le it is not being crushed at all."

from this post

Question 6: At the time of this statement, how did David Benson interpret the video evidence with respect to the movement and intactness of zone C (the 'upper block')?

Question 7: Is David Benson stating that if the WTC1 upper portion is sufficiently homogeneous, then the Bazant and Le paper shows it is not being crushed at all?









David Benson on WTC1:

"OneWhiteEye --- I've been thorugh all this before. Homogenization is fine when the tilt is taken into account; crushing proceeded on 3+ floors simultaneaously which is surely better represented by homogenization that by stepwise floor-by-floor model. However, both give essentially ythe same results; shagster actually went to the effort of running his own version of Greening's ideas using minifloors to demonstrate this; although, after some study, this is analytically obvious.


He is referring to the tilt motion of WTC1 in this statement.

Question 8: Within this statement, does David Benson express the belief that applying the assumption of homoginization is fine when the bulding tilt is taken into account?








"Major_Tom --- B&V have four simplifying assumptions which lead to the crush-down ODE. These assumptions are reasonable for WTC 1 but not, by video timing, for WTC 2 after a few seconds. In the case of WTC 2 it is clear from the ABC video of the collpase proceeding down to the Mariott rooftop level that the collapse was proceeding much too slowly; the inference is that the top section broke apart and fell off rather early on.

But as BLGB indicates, this could not have happened to WTC 1 or the timing would be off."

from this post


Question 9: within ths comment does David Benson state that the 4 simplifying assumptions stated in BV are reasonable and applicable for the case of WTC1?







"Major_Tom ---
Do you doubt Newton's Laws?
Do you doubt http://en.wikipedia.org/wiki/D'Alembert's_principle?
Do you doubt the applicability of the four simplifying assumptions in B&V?
If not, the conclusion of little early crush-up of zone C follows.
Further, the timing studies in BLGB show that most of zone C mass must have stayed on top most of the way down."

from this post

Question 10: Within this quote does David Benson express the belief that the timing studies in BLGB shows that most of the zone C mass (the 'upper block') of WTC1 must have stayed 'on top' most of the way down, experiencing 'little early crush up'?

Question 11: Does David Benson state that little early crush up of the WTC1 upper portion directly follows from an application of Newton's Laws, D'Alembart's principle and the fact that the four simplifying assumptions stated in the paper BV can be applied to WTC1?






"No sign of zone C falling aprat as long as it can be seen. Unlike the case of WTC 2."

from this post

Question 12: within this quote does David Benson claim there is no sign of the WTC1 upper portion falling apart for as long as it could be seen in the video evidence?











David Benson on WTC1:

"OneWhiteEye --- I'm not the one with any doubts about the matter: there can be no significant early crush-up."

from this post


Question 13: Within this statement does David Benson explicitly state that there can be 'no significant early crush up' and that he has 'no doubts' about that claim?





David Benson on WTC1:

"Read Bazant & Le to understand why zone C can be consired to be essentially rigid during crush-down.
I offered to start a thread about how to build a table-top demonstrator that will allow one to see that,
indeed, zone C remains intact during crush-down. I didn't bother when I realized that nobody here would bother to actually build it, test it, and in the process dicover that the application of Newton's laws and
d'Alembert's principle in Bazant & Verdure agrees with reality."

from this post

Question 14: Within this comment does David Benson state that the Bazant and Le paper contains the information that can help one understand why the WTC1 'upper block' (zone C) can be considered to be 'esentially rigid' during 'crush down'?

Question 15: Does he also state he considered starting a thread on how to build a table-top generator which would allow one to see that "indeed, zone C remains intact during crush-down."

Question 16: When David Benson refers to "reality" in this quote, is he referring to the actual collapse of WTC1?





"See Bazant & Le for a further exposition of why early crush-up is very small. It is, I admit, a difficult
point. But it is similar to a house riding down a landslide for which many examples have occurred in southern California."

from this post

Question 17: Within this comment does David Benson claim that the Bazant and Le paper explains why the early 'crush up' of WTC1 is "very small"?

Question 18: Within this comment does David Benson compare the 'upper block' of WTC1 to a "house riding down a landslide"?







"Albert Einstein once said something to the effect that a model should be as simple as possible, but no simplier. The B&V crush-down equation meets that criterion as long as one only considers measurements taken on the antenna mast. With your careful observations of perimeter wall sections breaking off at and above floor 98 and OneWhiteeEye's observation earlier on this thread to the effect that this led to a inhomogeneity in the structure, I then, as reported earlier on this thread, in effect moved zone C up to start at floor 102. That fits the antenna tower measurements and also (approximately) the additional observation that OneWhiteEye posted earlier on this thread, regarding the SW corner of WTC 1."



"So, the simplest possible model for WTC 1 collapse works very well even though I now conclude that some 4+ floors of early crush-up occurred due to the inhomogeneity introduced by missing perimeter wall sections. But not more early crushup than that. Once those were crushed, the homogeneity is re-introduced so that Bazant & Le then applies."


Question 19: Does David Benson, in this quote, claim that the upper portion of WTC1 may have crushed upward to floor 102, but no more than that?

Question 20: Does he claim that once floors 98 to 102 were crushed, the homogeneity of the 'upper block' is reintroduced so the Bazant and Le claim of zone C indestructibility then applies to WTC1?





David Benson on WTC1:

"OneWhiteEye --- B&L show little inital crush-up, not none at all. Since it is so small, the argument is that the crush-down only in B&V is a valid approximation."

from this post

"More complex equations simply are not required. Parsimony suggests the B&V crush-down equation with vertical avalanche resisting force together with starting the crushing front around floor 102, being good enough for the data in hand, is indeed good enough."

from this post

Question 21: When he uses the phrase a "valid approximation" in the first of the two previous quotes, to what is he referring? A valid approximation of what?


Question 22: Is David Benson claiming that the BV crush down equation with a crush front starting at floor 102 matches the actual WTC1 downward displacement measurements of the antenna?







I asked David Benson about the existence of the surviving WTC1 core remnant and the inconsistency of that fact with an intact 'upper block' that he kept insisting upon within these collected quotes.


MT: "Can you please explain how such tall surviving sections of the core can exist with horizontal bracing still attached without the need the debris to go around it, not through it (hence a gaping hole up the middle of the debris distribution)?

David Benson answered:

"The west and north walls peeled away sufficiently rapidly that deebris tended to move west and north near the spire. Similarly, but to a lesser extent, to south and east. There actually wasn't a gaping hole, just less density and in particular no structural steel to break connections."



"As for the core punching through the roof, I conjecture this occurred when the upper mechanical floors and up to the roof encountered the greater resistance offered around floors 75--79, about 30 stories (about 110 meters) down. No air escaping through such a puncture will be separately observable in any of the photos, IMO."

from this post

Question 23: Within this comment does David Benson explicitly state that he believes the core 'punched through the roof' of the 'upper block'?

Question 24: In this statement does David Benson state that he believes no air excaping through the 'punctured roof' will be separately observable in any of the 'photos' (meaning visual evidence)?







"Better to call the section cushed, rather than compressed, as it is inelastic. It did contain, for the most part, the core columns; only a few were bypassed."

from this post

David Benson is describing 'zone B' when making this statement. He was referring to 'zone B' as being crushed rather then 'cushed' as he typed.


Question 25: When making this statement, was he under the impression that 'zone B' contained most of the core columns from the area above the crush front?

Question 26: When making this statement, does he give evidence that he was under the impression that only a few core columns were bypassed by the crush front?




Question 27: At any time, within these direct quotes by David Benson, does he give any indication that he does not sincerely believe that the WTC1 'upper block' did not remain essentially rigid from floor 102 upward until falling at least to the 25th floor?

Question 28: At any time within these quotes does David Benson show any comprehension that what is sometimes now called "ROOSD' could be applied to WTC1?

Question 29: At any time within these quotes does David Benson distinguish between the crush down, crush up model presented in BV and BL from the actual collapse progression mode of WTC1?

Question 30: Does David Benson, within these quotes, make multiple references to the Bazant and Le paper to describe the actual collapse mode of WTC1?